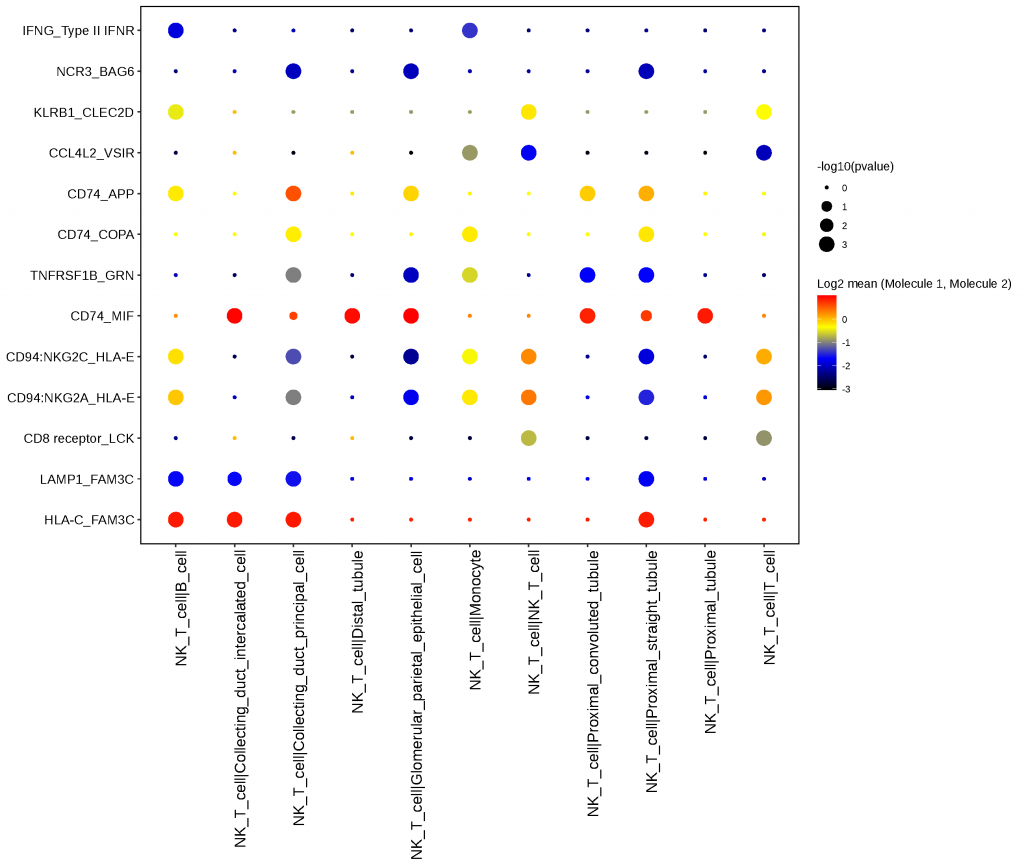
单细胞转录组测序 CX Genomics 3′ 技术10X Genomics 3′ 技术生信分析示例 生信分析示例 1、相关性分析 2、差异性分析 3、细胞类型注释 4、基因功能富集分析——过表达分析(ORA) 5、基因功能富集分析——GSEA 6、基因功能富集分析——GSVA 7、轨迹推断分析——伪时间分析 8、轨迹推断分析——RNA速率分析 9、细胞通讯分析 10、基因共表达分析